| Articles about Important Pages |
Set Theory Explanation Page • Tiering System FAQ • Higher-Dimensional Existence • Beyond-Dimensional Existence • Reality-Fiction Transcendence • Universe • Multiverse • Omnipotence • Feats • Powerscaling • VSBW Glossary |
|---|
Q: When are higher dimensions not viable to use as evidence for Tier 2 and above?
A: Whether higher-dimensional entities qualify for such high tiers or not depends on several different factors, which may take root both in and out-of-verse. To explain this situation, we must first clarify what exactly being higher-dimensional entails.
Are higher-dimensional beings infinitely larger than lower-dimensional equivalents?
In a way, yes, though not how most would think when using this word. Basically, an arbitrary object of dimension n is essentially comprised by the total sum of uncountably infinite objects of one dimension less, which may be described as lower-dimensional "slices", each corresponding to one of the infinite points of a line. For instance, a square is made of infinitely many line segments (Lined up on the y-axis), a cube of infinitely many squares (Lined up on the z-axis), and so on.
One may think of it as a multiplication between sets: For instance, the unit square [0,1]² may be expressed as the product of two unit intervals [0,1] x [0,1], which itself can be visualized as taking "copies" of the first interval and lining them up along each point of the second interval, of which there are uncountably infinitely-many, thus forming a square out of infinite line segments.
Are higher-dimensional beings infinitely stronger than lower-dimensional equivalents?
Unintuitive as that may be: Not necessarily, as a number of characteristics through which we quantify the strength or power of a character can remain unchanged when transitioning between higher and lower dimensions. For example: Mass is a quantity that is detached from the dimension of the object which it is inherent to, and unlike volume is not divided in units corresponding to each particular dimension (1-volume [length], 2-volume [area], 3-volume, 4-volume...). It is singular in nature and its units equally apply to all dimensions; whether it is distributed over an area or a volume only tells us about the span of space in which it is spread, not about the quantity itself.
As a consequence of that, much of the calculation methods which are used to measure strength apply equally to both higher and lower dimensions, as they do not care about the extra variables and often work with a single one of them. Examples of this are kinetic energy ( in classical mechanics or where in relativistic mechanics), force , work , and etc.
An intuitive example of that is found in the general definition of Work as defined in physics: In essence, as work itself denotes the energy applied to an object as it is displaced along a given path, the basic formula for calculating it only takes into account a single variable, and the path itself is treated as an one-dimensional object, regardless of the dimension of the space in which the action itself takes place.
Hence, a higher-dimensional entity can be both stronger or weaker than a lower-dimensional one, and thus, they are usually quantified based on their own feats, instead of dimensionality alone. If a character is merely stated to be higher-dimensional and simultaneously has no other feats to derive anything noteworthy from, then they are put at Unknown, and the same applies to lower dimensions as well.
Do note, however, that them not qualifying for Tier 2 and above doesn't mean they are "fake" higher-dimensional beings or anything of the sort. It is simply that being higher-dimensional does not inherently mean they have infinite power in the first place, as explained above.
Q: When are higher dimensions valid, then?
A: One of the more straightforward ways to qualify for Tier 2 and up through higher dimensions is by affecting whole higher-dimensional universes which can embed the whole of lower-dimensional ones within themselves. For example: A cosmology where the entirety of our 3-dimensional universe is in fact a subset of a much greater 4-dimensional space, or generalizations of this same scenario to higher numbers of dimensions; i.e A cosmology where the four-dimensional spacetime continuum is just the infinitesimal surface of a 5-dimensional object, and etc.
However, vaguer cases where a universe is merely stated to be higher-dimensional while existing in a scaling vacuum with no previously established relationship of superiority towards lower-dimensional ones (or no evidence to infer such a relationship from) should be analysed more carefully. In such cases where information as to their exact nature and scale is scarce, it is preferable that the higher dimensions in question be fully-sized in order to qualify.
Furthermore, higher-dimensional entities can also qualify for higher tiers when the verse which they are from explicitly defines them as being infinitely above lower-dimensional ones in power and/or existential status. An example of this being verses such as Umineko no Naku Koro ni. However, lower-dimensional beings being stated to be "flat" in comparison to higher-dimensional beings is not necessarily grounds for assuming the latter has infinitely more power (For reasons outlined in the answer above), and thus, such scenarios must also be analyzed case-by-case.
Q: How do temporal dimensions impact tiering?
A: The relationship between the spatial dimensions of a universe and the additional temporal dimension(s) may be visualized as something akin to the frames of a movie placed side-by-side. Basically, the time-like direction may be thought of as a line comprised of uncountably infinitely many points, each of which is a static "snapshot" of the whole universe at any given moment, with the set of all such events comprising the totality of spacetime.
This structure can then be generalized to any number of dimensions, which is why destroying a spacetime continuum is a greater feat than destroying only the contents of the physical universe (Low 2-C, rather than 3-A or High 3-A).
A spacetime continuum with two time axes, instead of just one, could likewise be visualized as a line comprised of uncountably infinitely many points, each of which is a static "snapshot" of the entire regular timeline with 3 space and 1 time dimension. It would hence be one uncountably infinite level above a timeline and as such baseline Low 1-C. Similarily, adding even more time dimensions would add one level of dimensional superiority each time.
Outside of explanations which state that multiple time dimensions exist it is difficult to show that a work of fiction has more than one. The key point that has to be established is that there is a kind of time that flows in a different direction than the past or the future or any of the spatial directions.
Things like timelines having time that passes at different rates would not qualify, as even the theory of general relativity already establishes that with just one regular time dimension time can flow at different rates in different places. Time flowing backwards in another universe would also not qualify it to have an additional time dimension, as it would still use the same directions of past and future as regular time, just with events playing out in reverse. For the same reasons, statements about independent time streams or of separate kinds of time, which could flow parallel to the original time, would not qualify.
Neither would dimensions that are timeless voids or are described as beyond spacetime in general qualify. Unless they contradict themselves, these realms should not have a time dimension at all, with change in them happening according to other principles. If they, on the other hand, do contradict themselves, the statement of them not having regular time would inherently not be reliable, making the idea equally unusable.
Of particular consideration are instances in which timelines as a whole are changed, such that there is a timeline (or multiple timelines) before they were changed and after they were changed or created / destroyed. As the timelines as a whole are changed, the before and after in this context can't be the past and future the timelines usually use, but should be a separate direction.
However, caution is necessary. As explained above, we require that the additional time dimension is "a line comprised of uncountably infinitely many points." If new versions of timelines are only created if they are changed, due to time travel for example, then the number of "snapshots" of the timeline would be far more limited. The amount of snapshots would be one more than the times the timeline was changed. So, for example, if the timeline is rewritten 2 times, there would be 3 snapshots of the timeline: the original, the timeline after the first rewrite and the timeline after the second rewrite. That are far less than the required uncountably infinitely many.
Aside from direct statements, the easiest way to confirm that the line is comprised of uncountably infinitely many points/"snapshots" is to show that the development of the timelines is time-like. I.e. typically one would want a statement indicating that the alteration of the timelines is subject to its own flow of time, or that special time travel can go to prior versions of the timelines instead of the past. The keyword in the latter case is time travel, as that specifies that the action happens through movement through something like time. Note that such statements can be considered contradicted if the fiction specifies that new versions of the timeline, i.e. additional snapshots, are only created when the timeline is altered or similar.
One other pitfall to consider is the case of branching timelines, where one can return to a past with fewer timelines by just going back to a point in the regular past that was before the split happened. In such cases one has to decide based on context if that is meant or if a prior version where the splits also didn't exist in the regular future is meant. The former case doesn't qualify for an additional time dimension, while the latter might if it meets the other outlined criteria.
Q: Do higher-dimensional entities automatically get Immeasurable speed?
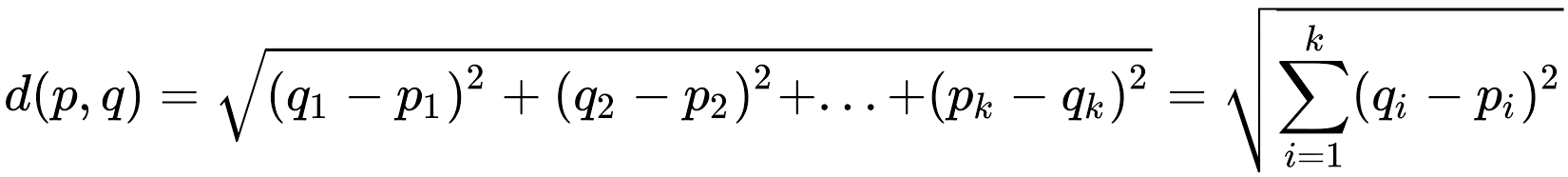
A: No. To put it simply: Although the presence of the additional axis results in a higher-dimensional space being infinitely larger in comparison to a lower-dimensional one, the numerical values themselves remain unchanged, as a "dimension" is nothing more than a continuum of numbers representing a direction of space. Consequently, the euclidean distance between a Point A and a Point B is always represented by a one-dimensional path (Regardless of the dimension of the space in which they are embedded), whose length is always measurable and given by a generalization of the Pythagorean theorem to n dimensions. That is:

Or, in plain english: Subtracting each of the coordinates of the starting and ending points (Distance is always given by the absolute value, so whether the result is negative or not is irrelevant), squaring the results, summing them up, and then taking the square root of the resulting value.
So, for example, in two-dimensional space, the distance between the points (4,4) and (8,8) is calculated through the following formula:
Then, to generalize this to higher dimensions, we only have to take into account the additional variables. For example, in 6-dimensional space, the distance between the coordinates (2,2,2,2,2,2) and (8,8,8,8,8,8) is:
Taking the "15" to be some arbitrary unit of distance, it is then perfectly possible to gauge a defined speed for a character who crosses it in a given length of time. For example, if 15 in this case is 15 meters, then a character who crosses this in a second would naturally be moving at 15 m/s.
Similarly, moving in a higher-dimensional space also doesn't qualify as Immeasurable speed, and would be more appropriately rated as Interdimensional range.
Of course, this formula doesn't always illustrate how the distance between two points works in real life, as the Earth has curvature and is obviously not a perfectly flat plane like Euclidean Space (At least non-locally), and the same applies to the universe at large. This is no issue, however, as there are plenty of metrics that can be applied to non-Euclidean spaces: For example, the distance between two points on the surface of a sphere is given by a geodesic, as opposed to a straight line passing directly through the sphere's interior, whose length is itself given by its spherical distance.
They can qualify for Immeasurable Speed, however, if the regular dimension of time appears like a spatial dimension from their higher dimensional perspective. That is to say, that it can freely be traversed both forward and backwards, allowing them to access any point in it and move unbound by the notions of time inherent to the lower space. An example of this are the Bulk Beings from Interstellar.
Plus, it should be noted that whose physical bodies land at High 1-B and higher get Infinite Speed by default, as any non-negligible movement across an infinite number of dimensions entails moving an infinite distance.
Q: Is destroying multiple infinite multiverses a better feat than destroying a single one?
A: In spite of what our intuitions may tell us, destroying or fully affecting multiple infinite-sized multiverses is in fact not better than doing the same to a single infinite multiverse, and thus, not above the "baseline" for 2-A.
The reason is that the total amount of universes contained in a collection of multiple infinitely-sized multiverses (even one consisting of infinitely many of them) is in fact equal to the amount of universes contained in a single one of the multiverses that form this ensemble: It is countably infinite, as the union of countably-many countable sets is itself countable, and thus does not differ in size from its components. The only general difference between multiple infinitely-sized multiverses and a single one is representation. What is considered to be multiple multiverses in one fiction could be considered a single multiverse in another, and vice versa, without the objective properties of those collections of universes changing. The only difference is where an author decided to draw the line between what belongs to the same multiverse and not. Thus, only an uncountably infinite number of universes actually makes any difference in terms of Attack Potency, at this scale.
This illustrates some of the more unintuitive properties of sets with infinite elements: Namely, given a set X, it being a subset of another set Y does not imply that Y > X in terms of size. An example of this is how the set of all natural numbers contains both the odd numbers and even numbers, yet all of these sets in fact have the same number of elements.
Similar to Attack Potency, affecting multiple multiverses by default can not be considered a feat of superior Range to affecting a single one. As mentioned before there is no real difference between the size or properties of one or multiple multiverses. Hence there can be no objective difference in range either. This is made even worse by the fact that what we considered multiversal range, as the distance between universes or the distances between things in or between multiverses, is usually not directly stated or quantifiable in fiction, but instead is approximated by the number of universes. That idea becomes meaningless if we try to quantify different ranges within sets of universes of equal numbers. As a consequence, even if one verse gave an indirect indicator of different ranges in its multiverse it would be impossible to compare to a different fiction where such a quantification doesn't exist.
For example, if travelling to another multiverse is said to take longer than travelling within the same one, that would seem to be an indication of different ranges, but at the same time one can not compare that information to another piece of fiction, as there is no way to tell how travelling within the same multiverse in another fiction compares range wise to either of those distances.
However, feats regarding affecting multiple multiverses may indeed qualify as higher range if the verse itself treats it as such. Those feats need to be relatively explicit and objective. For example, one multiverse being outside of the range of an effect or of the power of a character that can affect one infinite multiverse doesn't necessarily mean the multiverse is further away. Other factors such as differences in nature and domain of the multiverses or characters could, amongst other many other factors, also be the reason.
Q: Is a structure bigger than a 2-A structure Low 1-C by default?
No, the default assumption is that this is not the case. "Bigger" could mean having more 2-A structures and, as explained in greater detail previously, having more 2-A structures, or even infinitely many 2-A structures, unless uncountably infinitely many, won't be above a single 2-A structure in size. This is due to these structures actually having the same size as a baseline 2-A structure. It is, however, possible to at least achieve greater than baseline 2-A power by upscaling from other characters who've performed 2-A feats or of the feats themselves, rather than by affecting 2-A structures containing other 2-A structures. However, if "bigger" is indicated to mean a size difference that makes the structure dimensionally superior to a 2-A structure, the structure qualifies for Low 1-C unless the fiction specifies otherwise.
To elaborate, a structure larger than 2-A meets the requirements for dimensional superiority over them if it either explicitly mentions an uncountably infinite number of universes or has portrayals/statements of being larger than 2-A structures to the point that even infinite multipliers on top of the size of that structure are of no relevance to it. Multiversal structures past Low 2-C frequently have a distance of unknown length along a 5th dimensional axis separating them. That isn't automatically Low 1-C, as for Low 1-C the distance must be known to be of non-insignificant size.
In that regard it is important to consider that, by its nature, it is not possible to accurately depict 5 dimensional space. As such depictions of the multiverse are usually not to be understood as an accurate representation of the distance between the universes, but rather just qualitative analogies of the multiverse's structure.
As usual, evaluation of any additional evidence needs to be done case-by-case.
Q: How do cardinal numbers relate to tiering?
A: Depends on the number in question. The answer varies depending on the specification.
Let's take the smallest infinite cardinal (aleph-0, or ℵ0, the cardinality of countably infinite sets) as an example in this case: A set comprised of a countably infinite number of 0-dimensional points is itself a 0-dimensional space under the usual notions of dimensionality, being thus still infinitely small. Meanwhile, a countably infinite number of planets is High 3-A, a countably infinite number of universes 2-A, and countably infinitely many dimensions High 1-B.
We then move on to the power set of ℵ0, P(ℵ0), which is an uncountably infinite quantity and represents the set of all the ways in which you can arrange the elements of a set whose cardinality is the former, and is also equal to the size of the set of all real numbers. In terms of points, one can say that everything from 1-dimensional space to (countably) infinite-dimensional space falls under it, as all of these spaces have the same number of elements (coordinates, in this case), in spite of each being infinitely larger than the preceding one by the intuitive notions of size that we regularly utilize (Area, Volume, etc.).
On the other hand, an P(ℵ0) number of universes is Low 1-C, and a similar number of spatial dimensions is High 1-B+.
However, the same does not apply to sets of higher cardinalities than this (Such as P(P(ℵ0)), the power set of the power set of aleph-0), as they would be strictly bigger than all of the spaces mentioned above, by all rigorous notions of size, regardless of what their elements are (Points, universes, dimensions, etc). From this point and onwards, all such sets are High 1-B+. Finally, the Universe of Sets corresponds to the Low 1-A tier.
Do note, however, that these infinities must specifically refer to elements that physically exist within a verse's cosmology. Them existing as in-universe mathematical concepts is not sufficient for anything to scale to them, unless there is a direct comparison that allows scaling to be made.
Q: How do I determine if something is "transcendent"?
A: "Transcendence" is a vague term which can be used in several contexts, many of which do not at all align with how it is normally used in our forums, as it simply means "to go beyond the ordinary", first and foremost. For example, statements of "transcending space and time" can refer to things like time travel, dimensional travel, or even agelessness in some cases. Hence, it is very preferable to ascertain the meaning of statements involving this term from background context (If there is any), being especially careful around flowery language or purple prose.
Now, one of the most common scenarios where this question might arise is when dealing with cosmologies involving "higher planes of existence" or similar structures. In such cases, it's very important to note what exactly being a "higher plane" entails in the context of the setting: For instance, it's very common for Heaven and Hell to be defined as higher and lower planes of existence respectively in relation to the normal universe, in which case, "higher" and "lower" tends to simply indicate their relative position in a cosmology, as opposed to any kind of existential status, which is obviously not enough for anything remotely Tier 1.
Q: What tier is transcending space and time?
A: As said above, "transcending space and time" is a very vague statement by itself and can mean multiple things depending on the context in which it is made, as well as how this characteristic is portrayed in the first place. For example: It is perfectly possible for a statement like transcending space and time to mean that a character is simply "untied" from the universe's spacetime, and is thus unaffected by alterations in the timeline and similar meddlings. Likewise, It's not exactly uncommon for time travel (Or any action / process that affects something through different points in time) to be described as "transcending time and space."
Moreover, it should also be noted that simply existing in some alternate state of existence that lacks time and/or space is not really grounds for any tier in particular, as predating or lacking such things does not translate to being superior to them, and would most often overlap with abilities like Acausality or Nonexistent Physiology. A good example of a case like this is Dormammu (Marvel Cinematic Universe), who is stated to exist in a realm "far beyond time," yet never actually displays any superiority over it, and is in fact vulnerable to time-based abilities due to his timeless nature.
If the statement does specifically refer to superiority, however, then this opens up a wider range of possibilities that requires underlying context to properly tier. If the realm in question is "superior" to spacetime by a matter of physical size, then see here for more detailed information on the matter.
Q: When is the destruction or creation of a universe or timeline ranked as Low 2-C (Universe level+)?
A: As the Tiering System specifies, the affected area either has to be a large four dimensional space; most commonly, a spacetime continuum of universal size.
The latter means that all of the three-dimensional space of the universe has to be destroyed or created, at each moment in time. I.e. the entire timeline has to be destroyed.
Note that only direct destruction or creation qualifies. Just destroying the universe at the beginning of time and the rest vanishing due to the resulting causality paradox does not meet the requirements and would only be ranked as 3-A (Universe level).
For Tiering in regard to creating the Big Bang see here. Note that for creation feats additional considerations should be taken into account, as explained here.
Q: What is the Tier for destroying or creating several timelines?
A: As the Tiering System specifies, destroying or creating multiple timelines or space-time continuums is usually ranked between 2-C and 2-A, depending on the number of timelines involved.
However, there are two edge cases, which require particular considerations.
First, note that in our terms a universe, and hence also space-time continuums and timelines, always includes all of the three dimensional space that can be reached from it. That is to say, any place that can theoretically be reached via regular three-dimensional movement alone (e.g. via spaceflight) would be considered as part of the same universe, and hence timeline, regardless of whether the fiction considers it as such. Traveling from one universe to another should only by possible via portals, higher-dimensional movement, teleportation or other unusual means of transportation.
By default, universes are assumed to have separate three-dimensional spaces, but should a piece of fiction demonstrate the opposite destruction of several timelines connected in such a way would only be Low 2-C (Universe level+).
Second, is the case of timelines that at certain points are connected. Contrary to the case where one can always travel from one universe to the other via three-dimensional movement, it is only possible in those at certain times. In fact, at certain points in time they might be the same universe. E.g. if a timeline branches into two, then the timelines were the same universe before the branch split happened. And for the other way around, if two timelines get merged into one, then they are the same universe only after they were fused.
In those cases, the destruction of any one timeline is only counted if it was not connected to any other timeline for an infinite amount of time. Otherwise, if there are several timelines none of which are separate for an infinite amount of time, they would all be counted as just one timeline for the purpose of tiering their destruction or creation.
Note that timelines, by default, are assumed to be infinitely long i.e. it’s assumed that there is no end to time. Hence, unless the contrary are shown, the destruction of timelines that branch out from each other, and then never merge together again, would still be ranked between 2-C and 2-A (depending on the amount).
The underlying idea behind all of that is that each timeline that is counted should still be a large four dimensional object, as that’s the fundamental criteria to qualify for those tiers.
Consider that, once again, only direct destruction or creation qualifies. Just destroying the universe at the beginning of time and the timeline(s) vanishing due to the resulting causality paradox does not meet the requirements. This, in particular, means that one needs to take care that if multiple timelines, which branch off from each other, are destroyed, that it is not done by just properly destroying one timeline and the rest getting paradoxed out of existence due to their mutual past getting destroyed. Whether or not that is likely to be the case is decided on case-by-case basis and depends on such things as the nature and depiction of the attacks.
Note that for creation feats additional considerations should be taken into account, as explained here.
Q: What is the Tier for possessing Infinite Power or Infinite Strength?
A: Statements regarding infinite power, infinite strength, or unlimited quantities do not automatically indicate an ability to produce an infinite amount of energy at once. For example, a power source that never depletes could have an infinite quantity of energy, but can't necessarily be wielded with infinite magnitude (not all at once). Statements involving "infinite power/strength" must be clearly indicative of magnitude to qualify for tiering, in order to avoid inflated ratings or inconsistencies in a story. Further, the hyperbolic nature of the phrase must be taken into consideration, where characters are prone to describing someone's power as infinite in a context where it is so great as to be insurmountable from their perspective, but not truly infinite in a manner relevant to their tier. If proven, however, statements of infinite strength would qualify for High 3-A or higher if evidence regarding a higher degree of infinity above baseline is established.
Q: What tier does destroying all finite dimensional spaces at once equate to?
A: If a character with a single attack destroys a 1-dimensional space, a 2-dimensional space, a 3-dimensional space and so on, for any finite number of dimensions they would be considered to be High 1-B. The same applies if each of the spaces are contained in each other i.e. if the 1-dimensional space is part of the 2-dimensional space, which is part of the 3-dimensional space and so on. The reason for this is that the unification of all the finite dimensional space is best modeled through the space of all finite sequences which has countably infinite many dimensions.
Q: What is "qualitative superiority"?
A: To put it simply: It is superiority over lesser things that involves no element of quantity, or amount, in any manner whatsoever. It, instead, hinges entirely on the nature of the character's existence and ontology. In general, all characters with such superiority over lesser things are 1-A.
To better understand the concept, consider the fact that all tiers from 11-C to Low 1-A can ultimately be bridged together by summing up smaller things, and can likewise be decomposed down into these smaller constituents. For example, a mathematical space with an inaccessible cardinal's worth of dimensions (Well into High 1-B+) is reducible to the individual elements comprising it, each of which is a 0-dimensional point.
An example of the same principle can be seen in the Tychonoff cube: Given the unit interval [0,1] (A 1-dimensional object) and an arbitrary cardinal number κ, one can represent by [0,1]^κ the generalization of the unit interval to κ-many dimensions. In English: If we had a line segment of length 1, and multiplied it by itself, an inaccessible cardinal's worth of times, the result would be a Tychonoff cube of inaccessibly-many dimensions. A 11-B object can be multiplied by itself in order to net a High 1-B+ object. This continuity between the two, where a larger object can be expressed as a composition of many smaller objects, is what makes the gap between these tiers quantitative.
A character that holds a qualitative superiority over lesser things, however, represents a full discrete jump from everything that came before. They reside in a greater mode of existence entirely, being irreducible to anything that lies in the lower state of existence.
This inaccessibility possessed by qualitatively superior characters and realms can also be expressed in terms of sheer ontology, generally speaking. That is to say: They are fundamentally different from the nature of the lower reality, and this different nature is precisely the source of their superiority over it. Since their "otherness" is identical to their transcendence, no expansion or extension of the lower reality and anything in it can possibly attain to them, as long as it maintains its particular nature. Put it simply: They are as powerful as they are alien.
Q: Are there any disqualifiers for qualitative superiority?
A: The potential disqualifiers largely revolve around the aforementioned aspect of inaccessibility: A qualitative superiority is completely irreducible to anything lesser than itself, and conversely, it cannot be reached by any additive process whatsoever.
The first practical effect of this fact is that the power of a 1-A character cannot be dispersed so much that it reaches into a lower tier. Since there is no conceivable extension of any lower tier that can yield equality to a 1-A structure, neither can there be any subdivision (Even an infinite subdivision) of 1-A that reduces down into such tiers. Unless, of course, this division is somehow non-quantitative in nature (i.e. The results of the division are not actually numerical "chunks" of the character's power); however, this should be made reasonably clear by statements or through background context.
Secondly, a 1-A level cannot be attained by a process in which the lower level quantitatively "adds up" to itself to break through into the higher one, due to the total lack of structural continuity between the two; the higher level cannot be attained, nor expressed by, any expansions of the lower one, and therefore things from the latter cannot interfere with the former by means of their own lower existences. Put simply: A non-1-A cannot reach the level of 1-A by appealing to another non-1-A
However, there are ways to bypass this barrier. For example, a non-1-A can be empowered by a higher entity into being able to influence things on a qualitatively superior level. This can happen either by a straightforward power boost, or by means of some innate metaphysical potential rooted in something from a higher reality (This can include both characters who are converted into natives of higher planes and characters who are physically lower-dimensional but have 1-A statistics). In neither case is the capability to reach into the higher level something emergent from the structure of the lower level, and therefore they are acceptable ways to get around the above hurdles.
Furthermore, since the "lack of continuity" that exists between the higher level and the lower one is structural, and not causal, there can potentially be more unorthodox ways of bypassing the 1-A barrier. For example: Things that don't have anything to do with raw power, but just a general transfer/exposure of information between one level and another. Another example could be cosmologies where a higher level originates from the thoughts/beliefs/etc of inhabitants of a lower level; while these thoughts literally originating within the lower reality and then somehow "floating away" to form a higher one would be a disqualifier, no anti-feat is present if the verse has it so these operations simply already exist in a higher reality.
On the matter of power sources: That would depend on the nature of the power source itself. For example, a common trope in fiction is power sources that, so to speak, are "for the taking," meaning they are naturally self-diffusive and don't offer any resistance whatsoever to being tapped into, as being utilized in such a way is in their nature. Drawing power from such sources is obviously not actually an anti-feat for them being 1-A, especially so if they are depicted as naturally connected to, and united with, the beings that tap into them.
However, if the "power source" in question consists in a lower character literally overwhelming a would-be 1-A object with their own abilities and forcibly absorbing it into themselves, then that constitutes an anti-feat, unless the occasion falls under the stipulations above.
Note, also, the pertinence of Plot-Induced Stupidity and similar factors when weighing out whether certain showings are valid disqualifiers. Overall, it depends entirely on a combination of the nature of the showings themselves, their importance, and the verse's general insistence on the transcendence of the realm being interacted with. Individual analysis is to be employed for each particular case.
Q: What tier is transcending dimensions?
A: If it refers to an actual superiority over dimensions, then there are two options available for such statements: They can either be Low 1-A, inasmuch as generic superiority over dimensions can be expressed by a structure like a proper class, a generalization of the concept of mathematical sets to collections that are deemed "too big" to be such. For example: The proper class containing all vector spaces exceeds all vector space dimensions, and this can be generalized to even wider collections.
They can also be 1-A, if the superiority in question is qualitative in nature. That is: A "metaphysical" gap having nothing to do with additions of further composition.
Q: What tier is being the source of dimensions?
A: Depends. This sort of feat can easily be treated the same way as creation and stabilization feats, if it meets the standards for them. It can potentially serve as supporting evidence for 1-A, but since it ultimately boils down to causal power, and doesn't say anything about the nature of a character's existence, it ultimately defaults to scaling to however many dimensions there are in the verse.
Q: Is predating the concepts of space and time an 1-A feat?
A: No. As said above, predating a certain concept does not necessarily imply any form of superiority over it.
Q: Is transcending an 1-A character to the same degree they transcend normal humans High 1-A?
A: Generally speaking, no. The first level of 1-A is obtained by surpassing the composition of a lower reality, such that no union, combination or permutation of things within it, no matter how numerous, can attain to the higher level. The next level up repeats this pattern, so that no union, permutation or combination of things in the previous level can attain to it. And so on and so forth. As such, this proportion is already covered by a single additional level.
However, depending on the context, it can be High 1-A or supporting evidence for it, indeed. Specifically, if the statement is not meant to be inform the actual proportion between the powers of two characters, but simply their relative position in a cosmology. As, in a certain respect, it is valid to say that "High 1-A transcends 1-A in the same way 1-A transcends lower tiers," insofar as High 1-A transcends the generic quality defining a hierarchy or potential hierarchy of qualitative layers, just as 1-A transcends the qualities defining all conceivable dimensional spaces.
Q: Can a character have physical stats qualitatively superior to their own state of existence?
A: Broadly: No. The crucial thing to note about 1-A and above is that these tiers, in the relevant respect here, are completely discontinuous with lower ones. Therefore, no extension or add-ups of things from a lower reality (i.e. No quantitative increases) can measure up to a qualitatively greater plane of existence, and this applies to physical strength no less than it does to size. Thus, even if they are being boosted by a force from the corresponding level, a character from a lesser reality can't have qualitatively greater physical strength. The entity could not produce such a thing in the same way it could not produce a spatial object that is larger than itself.
That said, while they cannot be at this level by having their own physical power increased, they might be endowed with, or awaken, metaphysical attributes that allow them to imitate and influence things on a 1-A and higher scale. For example, consider the following scenario: A cosmology that includes both a physical level and an "informational" level that both transcends the physical and holds the "coding" of all the things in it. An entity capable of influencing the informational level then "locks" a certain person's code, and makes them unable to be interfered with even by other beings on a similar level to itself. This alteration to the metaphysical make-up of the person then emanates downwards into their physical body, and likewise makes them unable to be harmed by anything in the physical world.
In general, a character that is of a lower reality yet has, e.g. "1-A durability," would be receiving a metaphysical alteration that completely overwrites their own physical attributes. In the case of a cosmology that receives such a rating from Reality-Fiction Transcendences, for instance, say in a situation where the lower reality is a drawing to the higher reality, this alteration would not be the character becoming so materially "tough" that the artist cannot erase their drawing anymore. Rather, it would be an alteration at the level of the drawing itself.
A similar case, therefore, goes for Attack Potency. A character from a lower reality cannot "punch with 1-A force," because even if the higher reality has a concept of force, it is completely disconnected from that of the lower reality and therefore there is nothing that can bridge the two. They can, however, serve as a sort of conduit for power from a higher level, and thereby imitate qualitatively greater Attack Potency.
However, keep in mind: Just because a character from a lower reality is being empowered by something from a higher plane, does not mean that we can pass over any instances of ilicit interactions that might count as anti-feats towards the higher reality being 1-A. This is because, as said before, even an entity from a qualitatively greater level of existence cannot bring a thing to its own level simply by quantitatively increasing their strength. Therefore, if this empowerment is clearly one entirely focused around increasing their existing statistics while keeping them fundamentally unchanged instead of overwriting the very way in which they operate, it cannot be used to avoid or excuse anti-feats.
In which case, evidence must be given and weighed up in order to determine whether the empowerment is metaphysical in nature, either by explicit statements, or contextual indications that make such a thing sufficiently probable. For example: If the verse consistently presents certain characters as having the aforementioned "locked information", but a few characters comparable to those lack concrete statements of the same kind. Or if the verse has consistent but unreliable or uncertain statements hinting at the possibility of a more fundamental mechanism for their power, which is otherwise consistently shown to operate on a 1-A level.
Q: What are composite hierarchies and how do they relate to tiering?
A: Composite Hierarchies are multilayered cosmological structures where the difference between two realms is greater than a singular dimensional jump, such as a realm composed of a Low 2-C baseline layer and a superior High 1-C second layer. Within such cosmologies, it is common for each layer within these realms to possess its own notion of dimensionality and governing principles, which are surpassed in size and scope by the higher layers within the realm. Sometimes these realms are depicted as metaphysical in nature, transcending descriptions that are limited to lesser realities, with the realm being metaphysically or qualitatively superior to the lesser realm within the cosmology.
With a composite hierarchy involving a 1-A realm, it is important to note that the realm in question must still show properties of qualitative superiority or a "realness" difference. Simply viewing the lower realm as inferior wouldn't be enough. Additionally, while they may be part of the same "structure" in a sense, that would not preclude them from being 1-A as long as the lower layers of the hierarchy are subsumed by the higher layers in a way where they're not reliant on them as a base cosmology structure.